清水均价约8600元/平!天府新区蜀南春郡358套房源入市

搜狐焦点成都资讯 2018-03-20 18:51:30
用手机看
扫描到手机,新闻随时看

扫一扫,用手机看文章
更加方便分享给朋友

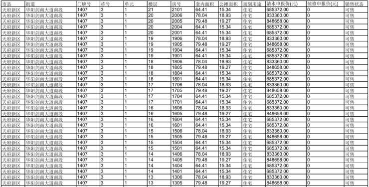
20日,天府新区蜀南春郡获预售,358套房源入市,面积区间76-99平,清水均价约8600元/平。

20日,天府新区蜀南春郡获预售,358套房源入市,面积区间76-99,清水均价约8600元/平

登记时间: 3 月 21 日-23 日( 9:00-18:00)。

资格核验时间: 3 月 21 日- 24 日( 9:00-18:00)。

摇号排序时间: 4 月 3 日(具体时间以公告时间为准)。

户型配比情况

房源情况(部分)

蜀南春郡大源里位于城南大源商务居住区与天府新区交汇处(华阳欧尚斜对面),剑南大道旁。 项目占地约30亩,总建面约10万方,户型建筑面积从72㎡-97㎡,总户数783户,由3栋约30层的电梯住宅呈V字型半围合组成,这样布局为小区提供开阔的视野及通透性,底层有两层7000㎡商业,与旁边小区形成一个6-7万方的商业街。

周边配套

商业:大型超市沃尔玛、欧尚、伊藤洋华堂等商业 

教育:成都天府新区实验小学,美视国际学校成都实验外国语学校西区 

医院:华阳二医院、石油总院、宋庆龄医院 

其他:6000亩南湖度假风景区,占地400亩极地海洋公园府河两旁是30米宽的河滨休闲走廊    

38000元/平方米

售罄 普通住宅 高层 超高层 潜力楼盘

天府新区天府新区剑南大道南段(华阳欧尚斜对面300米) 查看地图

2017年03月12日 70年

暂无 全部户型

400-616-2877 转 264826
微信扫码拨打
微信扫码,快速拨打
我要看房:近期看房活动,楼盘优惠信息通知我 已有68人报名
立即报名

 

声明:本文由入驻焦点开放平台的作者撰写,除焦点官方账号外,观点仅代表作者本人,不代表焦点立场。